DOI 10.35381/cm.v11i3.1918

 

Influencia de la cultura del fast fashion en las decisiones de compra de consumidores online

 

Influence of fast fashion culture on online consumer purchasing decisions

 

 

 

Mishell Carolina Calderón-Castillo

mishell.calderon.11@est.ucacue.edu.ec

 Universidad Católica de Cuenca, Cuenca, Azuay

Ecuador

https://orcid.org/0009-0006-9823-0948

 

Edwin Joselito Vásquez-Erazo

evasqueze@ucacue.edu.ec

Universidad Católica de Cuenca, Cuenca, Azuay

Ecuador

https://orcid.org/0000-0001-9817-6773

 

 

 

 

 

 

 

 

 

 

Recibido: 01 de agosto 2025

Revisado: 25 de agosto 2025

Aprobado: 15 de octubre 2025

Publicado: 01 de diciembre 2025

 

 


 

RESUMEN

El objetivo de la presente investigación fue analizar cómo estas tendencias influyen en las decisiones de compra y el comportamiento de los consumidores en plataformas de e-commerce. La metodología empleada es mixta, combinando enfoques cualitativos y cuantitativos, incluyendo encuestas a consumidores de moda en la provincia de Pichincha, junto con observación directa y análisis documental. Los resultados indican que las tendencias rápidas y los precios accesibles son factores determinantes en la decisión de compra, pero también surge una creciente preocupación por el impacto ambiental, que influye moderadamente en los consumidores. Las estrategias de marketing digital, como las promociones y la urgencia, tienen un impacto significativo. Las conclusiones sugieren que, aunque los consumidores muestran conciencia ambiental, la mayoría sigue siendo impulsada por la inmediatez y la competitividad de precios. Las marcas deben equilibrar la sostenibilidad con la rapidez y el dinamismo del mercado.

 

Descriptores: Moda; consumo; comercio electrónico; marketing; plataforma digital. (Tesauro UNESCO).

 

 

 

ABSTRACT

The objective of this research was to analyze how these trends influence purchasing decisions and consumer behavior on e-commerce platforms. The methodology used is mixed, combining qualitative and quantitative approaches, including surveys of fashion consumers in the province of Pichincha, along with direct observation and documentary analysis. The results indicate that fast trends and affordable prices are determining factors in purchasing decisions, but there is also a growing concern about environmental impact, which has a moderate influence on consumers. Digital marketing strategies, such as promotions and urgency, have a significant impact. The conclusions suggest that, although consumers show environmental awareness, most are still driven by immediacy and price competitiveness. Brands must balance sustainability with the speed and dynamism of the market.

 

Descriptors: Fashion; consumption; e-commerce; marketing; digital platform. (UNESCO Thesaurus).

 

 

 


INTRODUCCIÓN

Las empresas que dominan el sector del fast fashion a nivel mundial, son los corporativos de origen europeo: Mango, Inditex y Tendam. Estos son grandes grupos empresariales que realizan productos que van acorde a las tendencias de la moda de forma rápida, a precios accesibles. Dando como resultado el consumo en masas. Estas empresas tienen presencia a nivel mundial. La producción de estos emporios no es totalmente propia, ellos dependen de la producción en países de Asia, como son China, India y Bangladesh (Alonso et al, 2024).

Las empresas consientes del impacto ambiental que provoca el fast fashion implementan estrategias de sostenibilidad, como es realizar prendas con materia prima reutilizada, que se identifica a través de etiquetas que abordan características específicas. No obstante, esta producción de moda rápida más apegada a la protección del medio ambiente no aporta lo suficiente con la conservación de este, su fabricación conlleva la emisión de CO2 (García, 2021).

En Ecuador se registraron 1.239.822 empresas en el año 2022, de estas 321.165 pertenecen al sector del comercio. Y se establece que hay 699,9 empresas por cada 10.000 habitantes en el país. Teniendo en cuenta que, Pichincha fue la provincia con más crecimiento en ventas, equivalente a $87.905 millones de dólares. En ese año se evidencia un incremento en el número de empresas. En concordancia al año 2023, se constata una reducción del 7,4% en empresas activas pertenecientes al área de comercio, lo que corresponde a 33,2 mil empresas menos (Instituto Nacional de Estadística y Censos, 2023).

En el caso general de las importaciones no petroleras la variación anual es del 36,1%, es decir más de $170 millones de dólares. En el caso específico del nivel otros son de $21.132 millones de dólares en el año 2024. En este espacio se hace una afinidad a los bienes de consumo y se sitúan las prendas de vestir y el FOB representa $260 millones con respecto a enero, 2025. En esos periodos existe una variación de -4,7% en la sección de otros que se ubica la ropa (Ministerio de Producción, Comercio Exterior, Inversiones y Pesca, 2025).

En efecto, en Ecuador en el año 2024 las ventas en prendas de vestir bajaron un 5,5% esto se traduce en $2 millones de dólares de pérdidas. En concordancia al mes de enero, 2024 versus enero, 2023 en el parámetro de valor incrementa un 33,4% y por volumen un 14,8%. Las prendas de mayor exportación son las fibras de abaca y el punto. Resulta así mismo interesante, dirigirse a los artículos de importación que son los puntos. Los principales países desde donde se lleva a cabo las importaciones son: China, Colombia y Estados Unidos (AITE, 2024).

Con respecto a la decisión de compra de los ciudadanos de Quito, se aborda que el consumidor actúa acorde a si el producto es físico o virtual. Se constituye que los clientes toman una decisión de compra a partir de cinco momentos importantes como son: identificar una problemática, seguido del rastreo de datos, tercer momento es la valoración de las opciones, cuarto es la toma de decisión con respecto directamente a la compra y el último índice es el compartiendo después de la adquisición (Salazar, 2023). En este aspecto dejan ver que la resolución para obtener un bien por parte de los ciudadanos en Quito es consciente y crítica evalúan los diferentes instantes.

Dentro de este orden de ideas en el presente proyecto se específica el problema de la investigación que consiste en cómo afecta la cultura del fast fashion en las decisiones de compra de los consumidores en el entorno digital. Entonces, se plantea como objetivo general analizar cómo las tendencias de fast fashion influyen en las decisiones de compra y el comportamiento de los consumidores en plataformas de e-commerce.

 

Referencial Teórico

La decisión de compra es un mecanismo de averiguación ante una necesidad, en este procedimiento por el cual pasan los consumidores antes y después de adquirir un producto. Los compradores siguen un transcurso racional, ellos vinculan opciones que tienen en el mercado, comparan, eligen y examinan si es que existe una poscompra. Este ciclo depende de dos ámbitos: internos y externos. En el primero se identifica un desarrollo emocional de los consumidores. Y en el ámbito externo se basa en la publicidad, las estrategias de marketing que emplean las corporaciones para destacar sus productos (Díaz et al, 2025).

En este contexto, los consumidores toman una decisión con respecto a la compra a partir de procesos relacionados al nivel cognitivo, aquí piensan y actúan en cuanto a las opciones que le ofrece el mercado acompañado de una técnica heurística para determinar una adquisición. Y las empresas bombardean de información, promociones diversas para que los consumidores tengan múltiples opciones al momento de seleccionar los productos o servicios que van a adquirir de un negocio o empresa (Bermúdez & Duque, 2023).

La decisión de compra se simboliza como la intervención de las empresas para influir en el pensamiento, sentimientos, forma de ser y juicios que tienen los consumidores. El entorno digital permite que exista una comunicación entre marcas y clientes a través de las redes sociales creando una conexión y experiencia de compra diferente. Los consumidores se interrelacionan con tres tipos de personajes dentro de una empresa: famosos, líderes de opinión e influencers que buscan conectar de manera auténtica y cercana con los usuarios de una determinada corporación en el entorno digital (González et al, 2024).

Sobre la base de las ideas expuestas, la decisión de compra es un pilar medible dentro de un determinado mercado que permite la exploración en las estrategias que se establecen en marketing y en la promoción. Se revisa el proceso de fidelización de los clientes en conjunto a la recepción que tienen los usuarios en torno a la marca y el valor que les aporta. En un mundo donde el consumidor es híbrido visto desde la ética y la responsabilidad al tomar una decisión de compra. Las empresas se ven en esta necesidad de dar respuesta a las exigencias del usuario en un ambiente que está en constante cambio (Díaz et al, 2025).

En la decisión de compra se interpreta la opinión que tienen los clientes frente a lo que perciben en mercado. Se busca comprender que motiva a ellos al momento de obtener algo. Y se incluye al Marketing Estratégico como la herramienta para establecer contenido y publicitar un producto en el espacio digital por medio del valor agregado. Se indaga en las campañas de publicidad digitales y en la vivencia que reciben los usuarios. Se profundiza en tácticas de carácter económico y no económicas. La primera estrategia hace referencia a los descuentos, que incluyen valores de dinero y la no monetaria enfatiza en los incentivos (Bermúdez & Duque, 2023).

La decisión de compra se clasifica acorde al grado de inclusión que tiene el usuario. Se determinan tres tipos de comportamiento de compra, establecidas por niveles: complicada, escasa y constante. La complicada se refiere a la compra de productos que tienen un precio más alto, la escasa sucede cuando es una compra más fácil y la constante, son productos de alta rotación. Es preciso especificar que las campañas de Marketing que se emplean para cada uno de estos arquetipos dependen del consumidor y así seleccionan que contenido estará destinado a ellos, desde lo educativo, promocional hasta abordar con lo emocional (Díaz et al, 2025).

Existen decisiones de compra complejas que se direccionar a la parte técnica del producto o servicio, son más difíciles de vender y las impulsivas que van relacionadas a los sentimientos y emociones, el afán de obtener un producto de manera inmediata que son atraídas por medio del impacto que genera la publicidad. La decisión de compra se asocia al comportamiento que tienen los consumidores y con el marketing en la actualidad se permite conectar los deseos y necesidades que tienen los clientes en conjunto con lo que proponen las marcas desde los valores y atributos que ofrece (Bermúdez & Duque, 2023).

En cuanto al fast fashion se define como un modelo de negocio de un sistema de moda rápida que tiene un proceso de producción textil en cantidades masivas con un tiempo de vida útil reducido, se obtiene en un tiempo corto, con precios accesibles y surge como respuesta a la llegada de nuevas tendencias en el mercado de la moda y aparece como resolución para lo que los clientes desean en ese momento específico. Las empresas se adaptan a una sociedad cambiante. Este tipo de productos obtiene gran aceptación porque los influencers publicitan las marcas de fast fashion en los entornos digitales (Camacho et al, 2024).

Dentro de la industria de la moda rápida o fast fashion se acoplan a las demandas de los clientes en cuanto a prendas de vestir, zapatos, bolsos, accesorios, entre otros. Los productos que se ofrecen y promocionan en el mercado son inspirados de modelos y marcas de alta costura o diseñadores ofertados con un precio menor y accesible para la sociedad (Navarro et al, 2020).

El fast fashion ha transformado la visión que se tiene del ámbito textil, convirtiendo en un espacio de revolución y rapidez que dan las empresas a las exigencias de los consumidores. Los grandes referentes son Zara, H&M, Shein, que con sus cambios constantes en las colecciones brindan a los clientes productos en tendencias. Las estrategias de Marketing en redes sociales son más cercanas con el consumidor y tienen aceptación. Estas permiten que sea expansivo y llegue a todas las masas. En el ámbito del e-commerce se adapta el valor figurado que tiene un producto frente al funcionamiento (Maza & de las Heras, 2024).

Las redes sociales son fundamentales dentro del fast fashion como insumo de promoción y posicionamiento. A pesar de ello, las estrategias de moda rápida se centran en construir comunidades y una marca interesada por sus clientes. Desde el engagement con los me gusta y comentarios se puede visibilizar como los usuarios se vinculan con las empresas de este giro de negocio. Este indicador es medible para las empresas de fast fashion y en conjunto con este miden si sus tácticas están funcionando y dirigiéndose correctamente al público objetivo. Las industrias obtienen aportes de sus consumidores (Navarro et al, 2020).

En el caso del ámbito digital las fotografías de moda se centran en discursos de consumismo. Las tacticas que utilizan empresas como Zara, busca focalizar ámbitos de la vida cotidiana, reflejan emociones, sentimientos a través de sus modelos. Se enlaza a la marca con el cliente ideal que va acorde con el perfil que busca la empresas. Las fotografías en este espacio son demostrativas, de exhibición y comunicativas (Maza & de las Heras, 2024).

Las empresas de fast fashion cuando implementan sus estrategias digitales se basan en promocionarlas con imágenes. El contenido se centra en su mayor parte en retratar los productos y sus caracteristicas por medio de la fotografía. En sus publicaciones en la red social Facebook se colocan enlaces externos que dirigen al sitio web, que en general se encuentran en otro idioma diferente al español (Navarro et al, 2020).

En el fast fashion está la industria que contamina el medio ambiente con desechos e impulsa el consumismo desmedido y se enfoca en vender colecciones sin ningún tipo de aporte a la protección del ecosistema. A pesar de ello, se encuentra la moda rápida que se compromete con el planeta con el uso de materiales reutilizables que se identifican en sus las etiquetas. Transforman su modelo de negocio con el propósito de reducir el impacto negativo ambiental. La moda rápida inspira una cultura que percibe que las prendas tienen menor duración. Por eso, se busca que las empresas en su comunicación involucren aspectos de moda reciclada (Camacho et al, 2024).

Haciendo referencia a la clasificación del fast fashion se divide según la producción de los productos y la manera en la cual se distribuye. En este caso, el primer nivel es el fast fashion tradicional que realizan prendas acordes a las tendencias siguiendo la misma línea de moda en grandes cantidades, sus colecciones se actualizan de manera constante en este escalón están las empresas como Zara y H&M. Continuando con esta idea, el segundo aspecto es denominado como ultra fast fashion, la moda rápida que se mueve entiempo corto en la cual se ubica a la industria Shein (Maza & de las Heras, 2024).

 

MÉTODO

El estudio se llevó a cabo utilizando la metodología mixta cuali-cuantitativa, la cual implicó la recolección y el análisis de datos tanto cuantitativos como cualitativos, así como su integración y discusión conjunta para lograr un mayor entendimiento del fenómeno bajo estudio (Hernández & Mendoza, 2018). Para la investigación, se aplicaron diversos métodos de investigación, incluyendo el analítico-sintético, que permitió descomponer el fenómeno en sus partes para estudiarlas y luego integrarlas; el histórico-lógico, útil para rastrear la evolución de los hechos y sus relaciones a través del tiempo; y el descriptivo, enfocado en detallar las características del fenómeno. Estos métodos se articularon para abordar las diferentes facetas del problema de estudio (Benites et al., 2024).

La recolección de información se basó en un enfoque mixto. La vertiente cuantitativa incluyó la aplicación de una encuesta a los clientes de negocios de moda, con el fin de obtener datos numéricos que permitieran cuantificar y medir variables relacionadas con sus percepciones y comportamientos. Complementariamente, la vertiente cualitativa se nutrió de la revisión documental para contextualizar el tema y de la observación directa para capturar de manera naturalista y a profundidad las dinámicas y significados asociados a las prácticas de moda, obteniendo así datos narrativos y simbólicos que enriquecieron la interpretación de los hallazgos (Narváez & Erazo, 2022).

El muestreo aleatorio estratificado fue seleccionado para esta investigación en el sector de moda en la provincia de Pichincha, Ecuador, debido a la diversidad del mercado de moda. Este tipo de muestreo permitió dividir la población en subgrupos o estratos que comparten características similares, lo que garantizó que se obtengan resultados representativos de cada segmento. En el sector de moda, los estratos están relacionados con factores como edad, género, nivel socioeconómico, tipo de ropa o preferencias de marca. Al realizar el muestreo dentro de cada estrato, se aseguró que la muestra refleje adecuadamente las diferencias entre estos subgrupos, lo cual es esencial para obtener una visión precisa sobre las tendencias y comportamientos de compra en la ciudad.

Fórmula para calcular el tamaño de la muestra en muestreo aleatorio estratificado

La fórmula general para calcular el tamaño de la muestra es:

Donde:

n es el tamaño de la muestra.

N es el tamaño total de la población.

S es la desviación estándar estimada de la población.

E es el error tolerable.

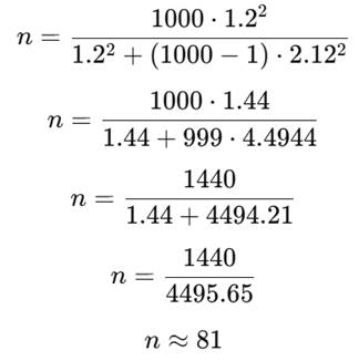
Sustitución en la fórmula:

Se obtuvo un tamaño de muestra de 81 personas, con una población aproximada de 1000 clientes frecuentes mensuales, dato proporcionado por la Agencia de Marketing Tikinauta y un error tolerable de 2.12. Este ajuste permitió que la investigación sea representativa y garantiza que los resultados sean suficientemente confiables para el análisis de las tendencias y comportamientos en el sector de la moda en Cuenca.

 

RESULTADOS

A continuación, se presentan los resultados obtenidos en la encuesta realizada a 81 clientes del sector empresas de moda fast fashion en la provincia de Pichincha. En la tabla 1 se expone el vínculo de las variables frecuencia de compra y comportamiento de compra.

El análisis estadístico comprueba que los consumidores tienen una frecuencia de compra variable. En donde prevalece aquellos que adquieren productos de forma ocasional. Se revela una intención constante. A pesar de ello, no existe fidelización. Lo que sugiere la necesidad de establecer estrategias de Marketing que impulsen la retención y promover un proceso de post compra a partir de la experiencia y comunicación de las empresas hacia los clientes.

 

Tabla 1

Correlación de las variables de la investigación

 

Variable

Nivel

Recuentos

Total

Proporción

p

Frecuencia de compra

A menudo

27

81

0.333

0.004

A veces

27

81

0.333

0.004

Nunca

4

81

0.049

< .001

Rara vez

15

81

0.185

< .001

Siempre

8

81

0.099

< .001

Comportamiento de compra

Irresponsable

26

81

0.321

0.002

No estoy seguro

7

81

0.086

< .001

No lo sé

12

81

0.148

< .001

No tiene impacto

20

81

0.247

< .001

Responsable

16

81

0.198

< .001

 

Elaboración: Los autores.

 

En el caso del comportamiento de compra se manifiestan diferencias en los consumidores que accionan de forma responsable y la población que adquiere un producto de manera impulsiva. Allí se demuestran las oportunidades para orientar las tácticas comerciales con el objetivo de incentivar un consumo consciente y acorde a los valores de la marca. De igual manera, hay consumidores indecisos que no comprenden en su totalidad su comportamiento, para esto se propone productos comunicacionales con mensajes claro y apegados a lo sentimental, que fortifiquen la conexión y promuevan una decisión de compra direccionadas a la propuesta de valor. En el siguiente apartado se presenta la figura 1.

 

 

Figura 1. Dashboard sobre las variables de investigación.

Elaboración: Los autores.

 

La influencia de la velocidad de las tendencias del fast fashion en la decisión de compra online se revela de manera significativa en los resultados obtenidos. El 39.5% de los encuestados indicó que la velocidad de las tendencias influye algo en su decisión de compra, mientras que el 33.3% menciona que influye mucho. El 22.2% señala que influye poco, el 3.7% considera que no influye y el 1.2% señala que no le afecta.

Los resultados muestran que más de la mitad de los consumidores se siente motivados por la rapidez con la que cambian las colecciones de moda, lo que resalta la importancia del dinamismo como factor clave en las estrategias de marketing digital. Las empresas deben aprovechar esta tendencia con campañas y la presentación constante de novedades. En la tabla 2 se especifica el enlace de las variables precio y el impacto ambiental.

La observación expone que el precio y el impacto ambiental influyen de manera decisiva en el comportamiento del consumidor en el ámbito del fast fashion. Los resultados muestran que muchos compradores valoran el costo accesible, mientras otros priorizan la calidad, lo que demanda estrategias de marketing que equilibren competitividad y valor agregado.

 

 

 

Tabla 2

Relación de las variables precio y el impacto ambiental en el fast fashion

 

Variable

Nivel

Recuentos

Total

Proporción

p

Precio

Nada

5

81

0.062

< .001

No, prefiero la calidad

2

81

0.025

< .001

Poco

11

81

0.136

< .001

Sí, algo

38

81

0.469

0.657

Sí, mucho

25

81

0.309

< .001

Impacto ambiental

No estoy seguro

11

81

0.136

< .001

No, no cambiaría mi comportamiento

1

81

0.012

< .001

Probablemente no

4

81

0.049

< .001

Sí, completamente

30

81

0.370

0.026

Sí, en parte

35

81

0.432

0.266

 

Elaboración: Los autores.

 

En el análisis se observa una creciente conciencia ambiental que impulsa cambios hacia un consumo más responsable, ofreciendo a las marcas la oportunidad de posicionarse mediante prácticas sostenibles y comunicación transparente. Así, el consumidor actual combina criterios económicos y éticos. En el siguiente punto, se adjunta la figura 2.

 

Figura 2. Dashboard de las variables dependiente e independiente de la investigación.

Elaboración: Los autores.

 

El análisis sobre la influencia de las estrategias de marketing del fast fashion, como descuentos, promociones y sensación de urgencia, en la decisión de compra online expone un impacto significativo en el comportamiento del consumidor. El 32.1% de los encuestados aborda que estas estrategias los afectan de manera moderada, el 28.3% marca que influyen mucho en su decisión de compra. El 25.9% asegura que influyen poco, el 7.4% expresa que no le afectan y el 6.1% cree que no influyen en absoluto.

Los resultados de la presente encuesta ilustran que más de la mitad de los consumidores se ven motivados por las tácticas comerciales que se emplean en el fast fashion, lo que confirma la efectividad de los estímulos de marketing basados en la urgencia, el precio y la exclusividad. Desde el enfoque del marketing digital, se revela la necesidad de que las marcas mantengan estrategias dinámicas que integren beneficios inmediatos, mensajes persuasivos y una comunicación constante para captar la atención del público y reforzar su decisión de compra en un entorno competitivo y acelerado.

 

DISCUSIÓN

El análisis de los resultados obtenidos permite la comprensión de la influencia de las estrategias de Marketing para intervenir en la decisión de compra online de los consumidores del sector de empresas de moda en la provincia de la Pichincha. Por consiguiente, la discusión compone investigaciones anteriores con enfoque a nivel de Latinoamérica.

Quilambaqui et al. (2022), sustentan que el uso de metodologías innovadoras como el Design Thinking fortalece a los emprendimientos de moda al impulsar la creación de planes de promoción y ventas online adaptados a las necesidades del consumidor. Durante la pandemia, los emprendedores enfrentaron la disminución de la demanda, lo que los llevó a migrar hacia entornos digitales, desarrollar empatía con sus clientes y crear estrategias visuales y comunicacionales más efectivas. Este proceso permitió mejorar la interacción con el público, optimizar los canales de venta y generar valor a través de la innovación y la personalización.

En el análisis de los resultados obtenidos en la investigación realizada en la provincia de Pichincha plasma que el comportamiento del consumidor en el sector de moda fast fashion se caracteriza por una frecuencia de compra variable y una marcada influencia de las estrategias de marketing digital. Los consumidores tienden a adquirir productos de forma ocasional o impulsiva, motivados principalmente por el dinamismo de las tendencias, los precios accesibles y las promociones. Existe una falta de fidelización y la presencia de un consumo poco consciente. Esto argumenta la necesidad de estrategias que fomenten la retención y fortalezcan la comunicación emocional entre la marca y el cliente.

En comparación, ambos estudios coinciden en que el marketing digital es un eje fundamental para la supervivencia y crecimiento del sector moda en Ecuador. Mientras que esta investigación se enfoca en el comportamiento del consumidor y la influencia de variables como el precio, la sostenibilidad, la velocidad de las tendencias, el trabajo de Quilambaqui et al. (2022), se centra en el proceso de innovación y la aplicación de herramientas prácticas para fortalecer la presencia digital de los emprendimientos.

Palacios et al. (2023), se centran en la percepción de campañas de comunicación sobre consumo responsable en la población millennial. Los resultados exhiben una alta receptividad al mensaje proambiental. En la campaña tienen emociones positivas, logrando influir parcialmente en los hábitos de consumo. La indagación resalta que, existe conciencia ambiental, ahora bien, prevalece el deseo de consumo rápido y la influencia de las tendencias de moda.

En comparación con la revisión realizada en la presente investigación, se certifica que los consumidores del sector fast fashion presentan una frecuencia de compra variable, destacando aquellos que adquieren productos de forma ocasional o impulsiva. En cuanto al comportamiento, se identifican dos tendencias: consumidores con conductas responsables y otros que actúan de forma impulsiva. Respecto al precio, se confirma que sigue siendo determinante en la elección de compra, aunque existe un grupo creciente de consumidores que tiene preocupación por el impacto ambiental.

Ambas investigaciones coinciden en que los consumidores del fast fashion son influenciados por la moda y el precio, con una clara brecha entre la conciencia ambiental y la acción responsable. En los dos contextos, la sostenibilidad aparece como un valor emergente más que como una práctica establecida. Existen diferencias relevantes: en Pichincha predomina la indecisión y un conocimiento limitado sobre el impacto ambiental, mientras que en Colombia se corrobora mayor sensibilización gracias a campañas comunicativas estructuradas.

Blas et al. (2024), implementa un plan Lean Manufacturing que identifica y corrige deficiencias en la producción, la gestión de recursos y la ligadura con los proveedores, aspectos que impactan indirectamente en la percepción del cliente final. Los resultados detallan una reducción del 65 % en los sobrecostos y una mejora significativa en la eficiencia operativa, no solo constatan un cambio estructural interno, sino también una respuesta alineada con las nuevas expectativas del consumidor, que busca productos de calidad, elaborados de manera responsable y bajo prácticas sostenibles.

En el examen del fast fashion, se observa que la frecuencia de compra está marcada por la inconstancia y la falta de fidelización, lo que apunta la necesidad de estrategias de retención basadas en la experiencia del cliente y la comunicación postventa. En este sentido, la rapidez de las tendencias y la percepción del precio son determinantes en la decisión de compra, lo cual guarda dependencia con la necesidad de las empresas manufactureras, como Rosalía Full Moda, de optimizar sus recursos y procesos para responder ágilmente a los cambios del mercado. En ambos casos, la eficiencia, ya sea en la producción o en la comunicación comercial, constituye un elemento esencial para mantener la rentabilidad y fidelidad del cliente.

Margalina et al. (2024), abordan la intención de compra online en el sector de la moda en Ecuador identifican que la confianza, la conveniencia y los riesgos percibidos son los factores con mayor incidencia en el comportamiento del consumidor, mientras que los costos no resultaron significativos. La investigación utiliza un modelo PLS-SEM con 223 participantes y reproduce que la confianza actúa como variable mediadora entre los factores mencionados y la intención de compra. Los autores abordan que la transparencia, la seguridad de los datos, la calidad del producto y la comunicación efectiva fortalecen la confianza, lo que influye directamente en la decisión de compra.

Tanto el estudio académico como los resultados locales coinciden en que la confianza y la experiencia del usuario son pilares fundamentales para la decisión de compra online. En el caso de Margalina et al. (2024), subrayan el papel mediador de la confianza y la conveniencia como determinantes de la intención de compra, la indagación de Pichincha resalta la influencia de las estrategias de marketing, la inmediatez de las tendencias y la sensibilidad hacia el precio. La principal diferencia radica en que el primero se enfoca en la estructura psicológica y técnica de la compra, el segundo en las respuestas emocionales y de comportamiento frente al dinamismo del mercado.

Ríos & Ramírez (2023), explican que la competitividad de las empresas del sistema moda de Manizales y Caldas a través de la conformación de un clúster para generar ventajas competitivas sostenibles, destacando la cooperación entre actores públicos, privados y académicos como motor de desarrollo económico. La investigación denota que la productividad, la innovación, el capital humano y la internacionalización son factores determinantes para el fortalecimiento del sector, resaltando la importancia de las mipymes en el tejido empresarial y su papel dentro de los encadenamientos productivos.

Los resultados obtenidos en la encuesta sobre el fast fashion en Pichincha ejemplifica una realidad complementaria al contexto colombiano descrito por los autores. En este caso, el análisis estadístico prueba que los consumidores presentan una frecuencia de compra variable y un comportamiento que oscila entre lo responsable y lo impulsivo, lo que plantea la necesidad de estrategias de marketing orientadas a la fidelización y la conciencia ambiental. Los resultados indican también que factores como el precio, las tendencias y las estrategias de urgencia influyen significativamente en la decisión de compra, revelando un mercado dinámico con limitada sostenibilidad.

Al contrastar ambos estudios, se identifican similitudes en la búsqueda de competitividad a través de la innovación, la comunicación estratégica y la adaptación a las tendencias del mercado. El trabajo de Ríos & Ramírez (2023), se centra en la cooperación empresarial como eje del crecimiento competitivo, los resultados del fast fashion en Pichincha evidencian una competencia acelerada impulsada por el consumo masivo y la inmediatez digital. En ambos contextos, la sostenibilidad emerge como un reto y una oportunidad: en Colombia desde la estructura productiva y en Ecuador desde el comportamiento del consumidor.

 

 

CONCLUSIONES

La velocidad de las tendencias del fast fashion influye considerablemente en las compras, motivando a más de la mitad de los consumidores a adquirir productos debido al dinamismo constante de las colecciones, lo cual obliga a las empresas a mantener una oferta de novedades continua en el entorno digital.

El precio accesible es un factor determinante en la decisión de compra para muchos, aunque existe una creciente conciencia sobre el impacto ambiental, impulsando la búsqueda de opciones de consumo más responsable; las marcas deben equilibrar competitividad en costos con prácticas de sostenibilidad transparente.

Las estrategias de marketing digital, basadas en la urgencia, promociones y descuentos, impactan significativa o moderadamente en la mayoría de los consumidores, revelando una falta de fidelización y un consumo ocasional o impulsivo que las empresas deben contrarrestar con estrategias de retención post-compra.

El comportamiento de compra varía entre actos impulsivos e irresponsables y conductas responsables, lo cual evidencia la necesidad de estrategias comunicacionales con mensajes claros que, a través de lo sentimental y la propuesta de valor, fortifiquen la conexión marca-cliente para promover una decisión consciente.

 

REFERENCIAS CONSULTADAS

AITE. (2024). Boletín estadístico: Boletín febrero 2024. Quito: AITE. https://n9.cl/8151p

 

Alonso, M., Rodríguez, J., & Sanz, M. (2024). Moda rápida y sostenibilidad: ¿un cambio de paradigma en marketing o una mera estrategia de greenwashing? https://n9.cl/5zhg9y

 

Benites, R., Erazo, J., & Narváez, C. (2024). Protección de datos de estudiantes en Marketing Digital: un desafío para las Instituciones de Educación Superior. Revista Conrado, 124–131. https://n9.cl/3engi

 

Bermúdez, H., & Duque, E. (2023). Influencia de los marcos promocionales de ganancia en las decisiones de compra de consumidores de detergente en tienda online: un aporte experimental en el canal de la COVID-19 https://n9.cl/hm9hm

 

Blas, T., Juarez, S., & Geldres, T. (2024). Implementación de un plan de Lean Manufacturing para reducir sobrecostos en la empresa de calzado Rosalía Full Moda S.A. https://n9.cl/fdvmd

 

Camacho, C., Bruno, K., Arriola, C., & Aguirre, R. (2024). Impacto de la moda rápida en el medio ambiente: Una revisión sistemática, periodo 2013–2023. https://n9.cl/tzo04

 

Díaz, M., Acosta, A., Morales, M., & Pérez, C. (2025). Comportamiento del consumidor y proceso de decisión de compra de la Generación Z en la Ciudad de Bogotá, Colombia. https://n9.cl/fdvmd

 

García, L. (2021). La comunicación online de la RSC en materia medioambiental. El caso de empresas de moda rápida y moda lenta. https://n9.cl/oi92m

 

González , N., Guiracocha, R., Cueva, J., & Sumba, N. (2024). El marketing de influencias y su efecto en la decisión de compra de los clientes en el sector de la moda y la belleza en Ecuador. https://n9.cl/wwchm

 

Hernández, R., & Mendoza, C. (2018). Metodología de la investigación: Las rutas cuantitativa, cualitativa y mixta. México: McGraw-Hill Interamericana.  https://n9.cl/tbek9n

 

Instituto Nacional de Estadística y Censos. (2023). Registro Estadístico de Empresas 2023. Quito: INEC. https://n9.cl/bov8jz

 

Margalina, V., Jiménez, Á., & Cutipa, A. (2024). Modelo PLS-SEM para la intención de compra online en el sector moda en Ecuador. https://n9.cl/wruafz

 

Maza, M., & de las Heras, D. (2024). Fast Fashion en e-commerce. Fotografía de comercio electrónico en lookbooks/catálogos. https://n9.cl/rhhkg

 

Ministerio de Producción, Comercio Exterior, Inversiones y Pesca. (2025). Boletín de Comercio Exterior – Marzo 2025. Quito: Ministerio de Producción, Comercio Exterior, Inversiones y Pesca. https://n9.cl/g3xyn

 

Narváez, C., & Erazo, J. (2022). Sector informal de textiles y confecciones: un análisis de las competencias laborales. . Universidad Y Sociedad, , 14(1), 673-688. https://n9.cl/tlrwx

 

Navarro, M., García, I., & Miquel, S. (2020). Utilización de Facebook como canal de comunicación en el sector de la moda: una comparativa de su vertiente dialógica entre las marcas de moda rápida y de lujo. https://n9.cl/rivai

 

Palacios, J., Marroquín, F., & Pérez, M. (2023). Campaña de comunicación sobre consumo responsable de productos de la industria de la moda: percepción del mensaje e influencia en el comportamiento de millennials en Colombia. https://www.redalyc.org/journal/5894/589475109018/html/

 

Quilambaqui, M., Contreras, D., Ramírez, M., & Gómez, L. (2022). Plan de promoción y ventas online para pequeños emprendedores en diseño de moda, con el uso de herramientas de Design Thinking en la zona de Guayaquil, Ecuador. https://n9.cl/0mum4

 

Ríos, M., & Ramírez, J. (2023). Competitividad de las empresas del sector sistema moda de Manizales y Caldas, potenciada a partir de la conformación de un clúster. https://n9.cl/h5k9f

 

Salazar, D. (2023). Proceso de compra del consumidor en restaurantes y cafeterías de la ciudad de Quito. https://n9.cl/0mizk2

 

 

 

 

 

 

 

 

 

 

 

©2025 por los autores. Este artículo es de acceso abierto y distribuido según los términos y condiciones de la licencia Creative Commons Atribución-NoComercial-CompartirIgual 4.0 Internacional (CC BY-NC-SA 4.0) (https://creativecommons.org/licenses/by-nc-sa/4.0/).